Python 3.9 beta预计下个月就要发布了,那么3.9有那些让我们期待的新功能和变更呢?本我我们一起来说Python 3.9的新功能的。
安装测试版
为了能够实际探索Python 3.9 的功能,我们需要先下载一个Python 3.9 alpha/beta并安装。
wget https://www.python.org/ftp/python/3.9.0/Python-3.9.0a5.tgz tar xzvf Python-3.9.0a5.tgz cd Python-3.9.0a5 ./configure --prefix=/home/chongchong/python-3.9 make make install
这样python测试版本就会安装完成,我们通过
/home/chongchong//python-3.9/bin/python3.9
运行此命令后,会显示当前版本和提示消息:
新区操作符
最值得期待的新功能是新字典合并运算符:|和|=。当前,我们要对字典合并要的做法,假设有两个字典:
d1 = {"x": 1, "y": 4, "z": 10} d2 = {"a": 7, "b": 9, "x": 5}我们希望结果为:
{'x': 5, 'y': 4, 'z': 10, 'a': 7, 'b': 9}方法1:
d = dict(d1, **d2)
方法2:
d = d1.copy() d.update(d2)
方法3:
d = {**d1, **d2}方法1使用dict(iterable, **kwargs)初始化字典的函数:第一个参数是普通字典,第二个参数是键/值对列表,在这种情况下,是使用**操作符解压缩的另一个字典。
方法2使用update功能用第二个字典中的键值对更新第一个字典。由于该操作会修改原始字典,因此我们需要将第一个字典复制到最终变量中,以避免修改原始字典。
方法3是最简练的解决方案,使用了字典解压缩并将两个变量(d1和d2)解压缩为结果变量d。
三种方法都可以用,在python 3.9中,我们还可以使用新的|操作法来解决。
新操作符方法:
方法4:
d = d1 | d2 d = {'x': 5, 'y': 4, 'z': 10, 'a': 7, 'b': 9}方法5:
d1 |= d2 d1 = {'x': 5, 'y': 4, 'z': 10, 'a': 7, 'b': 9}上面的方法4与方法1的拆包(d = {**d1, **d2})非常相似。方法5可用于就地合并,其中原始变量(d1)被第二操作数(d2)的值更新。
拓扑顺序
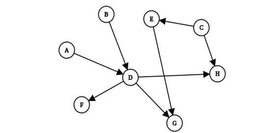
functools模块的TopologicalSorter可能是值得关注的另一项新功能。该类允许我们使用拓扑顺序对图进行排序。拓扑顺序是这样的顺序,其中对于2个节点u和v通过向边连接uv(从u至v)u在v前
在引入此功能之前,我们必须使用Khan的算法或深度优先搜索(不是完全简单的算法)手动来实现。在pyton 4.9中,如果需要对依赖作业进行排序以进行调度,则只需执行下面的操作:
from functools import TopologicalSorter graph = {"A": {"D"}, "B": {"D"}, "C": {"E", "H"}, "D": {"F", "G", "H"}, "E": {"G"}} ts = TopologicalSorter(graph) list(ts.static_order())结果:
['H', 'F', 'G', 'D', 'E', 'A', 'B', 'C']
在上面的示例中,我们首先使用字典创建图,其中键是传出节点,值是它们的邻居集。之后,我们使用图形创建sorter的实例,然后调用static_order函数以产生排序。请记住,此顺序可能取决于插入顺序,因为当2个节点处于同一图形级别时,它们将按插入顺序返回。
除了静态的排序,此类还支持节点的并行处理,比如与任务队列工作。
IPv6范围的地址
Python 3.9中引入的另一个变化是可以指定IPv6地址的范围。对不不熟悉IPv6的人来说,通过IPv6范围,它可以用来验证IP的有效性。范围可以在IP地址的末尾使用%符号指定,例如"3FFE:0:0:1:200:F8FF:FE75:50DF%2"。该IP地址为范围内2,即链接本地地址。
因此,如果需要在Python中处理IPv6地址,现在可以这样处理:
from ipaddress import IPv6Address addr = IPv6Address('ff02::fa51%1') print(addr.scope_id)结果为:
"1" – 表示网卡本地地址。
但是,使用IPv6范围时应注意一件事。使用基本的Python运算符进行比较时,范围不同的两个地址不相等。
新math功能
Python 3.9在math模块中,添加或改进了许多其他功能。
import math math.gcd(80, 64, 152)
8
以前计算最大公因数的函数(gcd)只能应用于2个数字,所以,我们不得不要变相使用math.gcd(80, math.gcd(64, 152))的方法来处理。从Python 3.9开始,gcd可以将其应用于任意数量的值。
math模块的新增加的功能是math.lcm:
math.lcm(4, 8, 5)
40
math.lcm用来计算其参数的最小公倍数。与gcd相同,它允许可变数量的参数。
还有两个新增加的功能是math.nextafter和math.ulp:
math.nextafter(4, 5)
4.000000000000001
math.nextafter(9, 0)
8.999999999999998
math.ulp(1000000000000000)
0.125
math.ulp(3.14159265)
4.440892098500626e-16
math.nextafter(x, y)功能是非常简单:它表示往后面浮动x到y趋势,同时增加浮点数精度的近似(根据确实补0或者9)。
而math.ulp用作数值计算精确的测量。最简短的解释是使用示例:
假设我们没有64位计算机。相反,我们只有3位数字。用这3位数字可以表示3.14而不是3.141。使用3.14,我们可以代表的最接近的较大数字是3.15,这2个数字相差1个ULP(最后一个单位),即0.1。因此,math.ulp返回值如上面示例。
新的字符串函数
Python 3.9中,字符串也添加了两个新的便捷功能:
removeprefix,去掉前缀
"someText".removeprefix("some")结果为"Text"
removesuffix,去掉后缀
"someText".removesuffix("Text")"some"
对这两个函数的功能可以使用string[len(prefix):]前缀和string[:-len(suffix)]后缀来实现的功能。但是这样的操作在日常很常见,所以增加这两个函数可以带来很多便捷。
HTTP代码
还有一个需要提及的新功能是HTTP模块中已经增加了状态码http.HTTPStatus。即是:
import http http.HTTPStatus.EARLY_HINTS # <HTTPStatus.EARLY_HINTS: 103> http.HTTPStatus.TOO_EARLY # <HTTPStatus.TOO_EARLY: 425> http.HTTPStatus.IM_A_TEAPOT # <HTTPStatus.IM_A_TEAPOT: 418>
http.HTTPStatus这些状态码会对我们处理http协议中的很多问题带来便捷。
结论
Python 3.9目前还处于Alpha阶段,下个月发布beta版本,到正式版发布已经为时不多了,希望该文章介绍能对我们版本升级更换有所帮助。








