本文来源于新浪科技《科学大家》,文 | 杨振宁 著名物理学家,诺贝尔物理学奖获得者,中国科学院院士,美国国家科学院院士,清华大学教授
1905 年通常称为阿尔伯特・爱因斯坦的“奇迹年” (Annus Mirabilis)。在那一年,爱因斯坦引发了人类关于物理世界的基本概念 (时间、空间、能量、光和物质) 的三大革命。一个 26 岁、默默无闻的专利局职员如何能引起如此深远的观念变革,因而打开了通往现代科技时代之门?当然没有人能够绝对完满地回答这个问题。可是,我们也许可以分析他成为这一历史性人物的一些必要因素。
首先,爱因斯坦极其幸运:他生逢其时,当物理学界面临着重重危机时,他的创造力正处于巅峰。换句话说,他有机会改写物理学的进程,这也许是自从牛顿时代以来独一无二的机遇。这种机遇少之又少。E.T。 贝尔 (Bell) 的《数学精英》(Man of Mathematics, New York: Dover Publications, 1937) 引用了拉格朗日 (J。 L。 Lagrange, 1736-1813) 的话:
虽然牛顿确实是杰出的天才,但是我们必须承认他也是最幸运的人:人类只有一次机会去建立世界的体系。
这里,拉格朗日引用的是牛顿的巨著《自然哲学的数学原理》(Principia Mathematica) 中第三卷即最后一卷前言中的话:
现在我要演示世界体系的框架。

‘Newton’, William Blake, 1795-1805‘Newton’, William Blake, 1795-1805
拉格朗日显然非常嫉妒牛顿的机遇。可是爱因斯坦对牛顿的公开评价给我们不一样的感觉:
幸运的牛顿,幸福的科学童年……他既融合实验者、理论家、机械师为一体,又是阐释的艺术家。他屹立在我们面前,坚强、自信、独一无二。
爱因斯坦有机会修正 200 多年前牛顿所创建的体系。可是这个机会当然也对同时代的科学家们开放。的确,自从 1881 年迈克尔逊―莫雷 (Michelson-Morley) 首次实验以及 1887 年第二次实验以来,运动系统中的电动力学一直是许多人在钻研的热门课题。令人惊奇的是,当爱因斯坦仍在苏黎世念书时,他已经对这个题目发生了浓厚的兴趣。1899 年他曾写信给他后来的太太米列娃 (Mileva Marić):
我还了赫姆霍兹的书,现正在非常仔细地重读赫兹的电力传播工作,因为我以前没能明白赫姆霍兹关于电动力学中最小作用量原理的论述。我越来越相信今天所了解的运动物体的电动力学与实际并不相符,而且可能有更简单的理解方式。(引自:Albert Einstein / Mileva Marić, The Love Letters, eds。 Renn & Schulmann, translated into English by S。 Smith, Princeton University Press, 1992。)

电流的磁效应,运动的电荷产生磁场其实就是相对论效应的体现,《论动体的电动力学》也正是爱因斯坦发表的第一篇关于狭义相对论的论文的题目
他追寻此更简单的理解方式,六年以后引导出了狭义相对论。
当时许多科学家对这个科目也极感兴趣。庞加莱 (L。 H。 Poincaré,1854-1912) 是当时两位最伟大的数学家之一,他也正在钻研同一个问题。事实上,相对性 (relativity) 这一名词的发明者并不是爱因斯坦,而是庞加莱。庞加莱在 1905 年的前一年的演讲《新世纪的物理学》(载:Physics for a New Century, AIP Publication on History, vol 5, 1986) 中有这样一段:
根据相对性原则,物理现象的规律应该是同样的,无论是对于固定不动的观察者,或是对于做匀速运动的观察者。这样我们不能,也不可能,辨别我们是否正处于这样一个运动状态。
这一段不仅介绍了相对性这个概念,而且显示出了异常的哲学洞察力。然而,庞加莱没有完全理解这段话在物理上的意义:同一演讲的后几段证明他没有抓住同时性的相对性(relativity of simultaneity)这个关键性、革命性的思想。
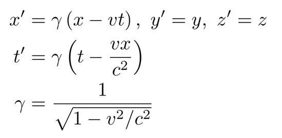
爱因斯坦也不是首位写下伟大的转换公式的人:

之前,洛伦兹 (H.A.Lorentz, 1853-1928) 曾写出这个公式,所以当时这个公式以洛伦兹命名,现在仍然是这样。可是洛伦兹也没能抓住同时性的相对性这个革命性思想。1915 年他写道:
我失败的主要原因是我死守一个观念:只有变量 t 才能作为真正的时间,而我的当地时间 t’ 仅能作为辅助的数学量。(转引自:Abraham Pais, Subtle is the Lord: The Science and the Life of Albert Einstein。 Oxford: Oxford University Press, 1982, p。 167)
这就是说,洛伦兹有数学,但没有物理学;庞加莱有哲学,但也没有物理学。正是 26 岁的爱因斯坦敢于质疑人类关于时间的原始观念,坚持同时性是相对的,才能从而打开了通向微观世界的新物理之门。
几乎今天所有的物理学家都同意是爱因斯坦创建了狭义相对论。这对庞加莱和洛伦兹是否公平?要讨论这个问题,让我们先引用怀特海 (A.N。 Whitehead, 1861―1947) 的话:
科学的历史告诉我们:非常接近真理和真正懂得它的意义是两回事。每一个重要的理论都被它的发现者之前的人说过。 (见:The Organization of Thought, Westport CT: Greenwood Press, 1974, p.127)
洛伦兹和庞加莱都没有抓住那个时代的机遇。他们致力于当时最重要的问题之一,即运动系统中的电动力学。可是他们都错失其重点,因为他们死守着旧观念,正如洛伦兹自己后来所说的一样。爱因斯坦没有错失重点是因为他对于时空有更自由的眼光。
要有自由的眼光 (free perception),必须能够同时近观和远看同一课题。远距离眼光 (distant perception) 这一常用词就显示了保持一定距离在任何研究工作中的必要性。可是只有远距离眼光还不够,必须与近距离的探索相结合。正是这种能自由调节、评价与比较远近观察的结果的能力形成了自由的眼光。按照这一比喻,我们可以说洛伦兹失败了是因为他只有近距离眼光,而庞加莱失败了是因为他只有远距离眼光。
中国伟大的美学家朱光潜 (1897-1986) 强调过“心理距离”在艺术和文学创作上的重要性。我认为他的观念与上述的远距离眼光是一致的,只是在不同的学术领域而已。在最权威的爱因斯坦的科学传记 Subtle is the Lord (即前文所引 A。 Pais 的著作) 中,作者选择这样一个词来描写爱因斯坦的性格:孤持 (apartness),并且在第三章开始时引述道:
与其他人保持距离;单独地、孤立地、独自地。(《牛津英文词典》)
的确,孤持、距离、自由眼光是互相联系的特征,是所有科学、艺术与文学创造活动中一个必要因素。

光电效应光电效应
1905 年爱因斯坦另一个具有历史意义的成果是他于 3 月间写的论文《关于光的产生和转化的一个启发性观点》(On A Heuristic Point of View Concerning the Generation and Conversion of Light )。这篇文章首次提出了光是带分立能量 hν 的量子。常数 h 由普朗克于 1900 年在其大胆的关于黑体辐射的理论研究中提出。然而,在接下来的几年里,普朗克变得胆怯,开始退缩。
1905 年爱因斯坦不仅没有退缩,还勇敢地提出关于光量子的“启发性观点” 。这一大胆的观点当时完全没有受到人们的赞赏,从以下的几句话就可以看出这一点:八年后,当普朗克、能斯特 (W。 H.Nernst)、鲁本斯 (Heinrich Rubens)、瓦尔堡 (O。 H.Warburg) 提名爱因斯坦为普鲁士科学院院士时,推荐书上说:
总之,我们可以说几乎没有一个现代物理学的重要问题是爱因斯坦没有做过巨大贡献的。当然他有时在创新思维中会错过目标,例如,他对光―量子的假设。可是我们不应该过分批评他,因为即使在最准确的科学里,要提出真正新的观点而不冒任何风险是不可能的。 (参见前引 A。 Pais 的著作,p.382)
这封推荐书写于 1913 年,其中被嘲笑的光―量子假设 (hypothesis of light-quanta) 指的就是上述爱因斯坦于 1905 年大胆提出的想法。可是爱因斯坦不理这些嘲笑,继续把他的想法向前推进,于 1916 年至 1917 年确定了光量子的动量,进而发展为 1924 年对康普顿效应 (Compton effect) 的划时代的认识。
光量子这一革命性之观点产生的历史可以总结为:
1905 年 爱因斯坦关于 E = hν 的论文
1916 年 爱因斯坦关于 P = E/c 的论文
1924 年 康普顿效应
在那些年里,在 1924 年康普顿效应确立之前,爱因斯坦完全孤立,因为他对光量子的深邃眼光不被物理学界所接受。
在 1905 年至 1924 年之间,爱因斯坦的研究兴趣主要在广义相对论。作为科学革命,广义相对论在人类历史上是独一无二的。其设想宏伟、美妙、广邃,催生了令人敬畏的宇宙学,而且它是一个人独自孕育并完成的,这一切让我想起《旧约》里的创世篇 (不知爱因斯坦本人是否曾想起这个比较)。
当然,我们很自然也会想起其他的科学革命,例如牛顿的巨著、狭义相对论、量子力学。不同之处:牛顿的工作确实是宏伟、美妙、广邃的。对。可是在他之前有伽利略 (Galileo)、开普勒 (Kepler),还有更早的数学家和哲学家们的成果。他也不是当时唯一在寻求万有引力定律的人。狭义相对论和量子力学也都是影响深远的革命。可是它们是当时许多人研究的热门课题,都不是由一个人所创建的。
关于广义相对论,爱因斯坦没有抓住什么机遇,而是创造了这个机遇。他独自一人通过深邃的眼光,宏伟的设想,经过七八年孤独的奋斗,建立起一个难以想象的美妙体系。这是一次纯粹的创造。

广义相对论认为引力来自时空的弯曲广义相对论认为引力来自时空的弯曲
广义相对论代表引力场的几何化。自然而然它使爱因斯坦接着提出电磁场的几何化。从而又产生了将所有自然力几何化的想法,即统一场论。此发展成为他后半生的研究重点。例如,1949 年至 1950 年在普林斯顿高等研究中心他最后的研讨会上,他尝试着把电磁场 Fμν 合并成不对称的度量 gμν 。他这个尝试和他先前在同一方向所做出的努力一样,都没能成功。
由于没有成功,也由于自 20 世纪 20 年代初,爱因斯坦将其注意力几乎全部放在这项研究上而忽略了像固体物理和核子物理这些新发展的领域,他经常遭受批评,甚至被嘲笑。他对于统一场论的投入被描述为着魔 (obsession)。这种批评的一个例子是拉比 (I。 I。 Rabi, 1898―1988) 于 1979 年在普林斯顿举行的爱因斯坦百年纪念上所讲的话:
当你想起爱因斯坦于 1903 年或 1902 年至 1917 年的工作时,那是极其多彩的,非常有创造力,非常接近物理,有非常惊人的洞察力;然而,在他不得不学习数学,特别是各种形式的微分几何的时期以后,他就改变了。
他改变了他的想法。他的那种对物理学的伟大创意也随之改变了。
拉比是否正确呢?爱因斯坦有没有改变呢?
答案是:爱因斯坦的确改变了。改变的证据可以在他 1933 年的斯宾塞演讲 (Herbert Spencer Lecture)《关于理论物理学的方法》(On the Method of Theoretical Physics, New Nork: Oxford University Press, 1933) 中找到:
理论物理的公理基础不可能从经验中提取,而是必须自由地创造出来……经验可能提示适当的数学观念,可是它们绝对不能从经验中演绎而出……
但是创造源泉属于数学。因此,在某种意义上,我认为单纯的思考可以抓住现实,正如古人梦想的一样。
虽然你可以同意或反对这些非常简要的论点,但是你必须同意它们强有力地描述了爱因斯坦在 1933 年关于如何做基础理论物理的想法,而且此想法相对于他早年的想法有极大的变化。
爱因斯坦自己对这一变化非常清楚。在他 70 岁出版的《自述》(Autobiographical Notes) 里,我们看到:
……我作为一个学生并不懂得获取物理学基本原理的深奥知识的方法是与最复杂的数学方法紧密相连的。在许多年独立的科学工作以后,我才渐渐明白了这一点。
很明显,在这一段里,“独立的科学工作”指的是他于 1908 年至 1915 年期间创建广义相对论的长期奋斗。长期奋斗改变了他。是否朝更好的方向改变了呢?拉比说:不是,他的新眼光变成徒劳无益的走火入魔。我们说:他的新眼光改写了基础物理日后的发展进程。爱因斯坦逝世几十年来,他的追求已经渗透了理论物理基础研究的灵魂,这是他的勇敢、独立、倔强和深邃眼光的永久证明。

