引言:简单来说,词嵌入(Word Embedding)或者分布式向量(Distributional Vectors)是将自然语言表示的单词转换为计算机能够理解的向量或矩阵形式的技术。

本文由原作者授权转载自知乎专栏:高能 NLP 之路
目录
一、文本表示和各词向量间的对比
1、文本表示哪些方法?
2、怎么从语言模型理解词向量?怎么理解分布式假设?
3、传统的词向量有什么问题?怎么解决?各种词向量的特点是什么?
4、 Word2vec 和 NNLM 对比有什么区别?(Word2vec vs NNLM)
5、Word2vec 和 FastText 对比有什么区别?(Word2vec vs FastText)
6、 GloVe 和 Word2vec、 LSA 对比有什么区别?(Word2vec vs GloVe vs LSA)
7、 ELMo 、 GPT 、 BERT 三者之间有什么区别?(ELMo vs GPT vs BERT)
二、深入解剖 Word2vec
1、Word2vec 的两种模型分别是什么?
2、Word2vec 的两种优化方法是什么?它们的目标函数怎样确定的?训练过程又是怎样的?
三、深入解剖 Glove 详解
1、GloVe 构建过程是怎样的?
2、GloVe 的训练过程是怎样的?
3、Glove 损失函数是如何确定的?
四、深入解剖 BERT(与 ELMo 和 GPT 比较)
1、为什么 BERT 采取的是双向 Transformer Encoder,而不叫 decoder?
2、ELMo、GPT 和 BERT 在单双向语言模型处理上的不同之处?
3、BERT 构建双向语言模型不是很简单吗?不也可以直接像 ELMo 拼接 Transformer decoder 吗?
4、为什么要采取 Marked LM,而不直接应用 Transformer Encoder?
5、BERT 为什么并不总是用实际的 [MASK]token 替换被“masked”的词汇?
一、文本表示和各词向量间的对比
1、文本表示哪些方法?
下面对文本表示进行一个归纳,也就是对于一篇文本可以如何用数学语言表示呢?
基于 one-hot、tf-idf、textrank 等的 bag-of-words;
主题模型:LSA(SVD)、pLSA、LDA;
基于词向量的固定表征:Word2vec、FastText、GloVe
基于词向量的动态表征:ELMo、GPT、BERT
2、怎么从语言模型理解词向量?怎么理解分布式假设?
上面给出的 4 个类型也是 nlp 领域最为常用的文本表示了,文本是由每个单词构成的,而谈起词向量,one-hot 是可认为是最为简单的词向量,但存在维度灾难和语义鸿沟等问题;通过构建共现矩阵并利用 SVD 求解构建词向量,则计算复杂度高;而早期词向量的研究通常来源于语言模型,比如 NNLM 和 RNNLM,其主要目的是语言模型,而词向量只是一个副产物。

所谓分布式假设,用一句话可以表达:相同上下文语境的词有似含义。而由此引申出了 Word2vec、FastText,在此类词向量中,虽然其本质仍然是语言模型,但是它的目标并不是语言模型本身,而是词向量,其所作的一系列优化,都是为了更快更好的得到词向量。GloVe 则是基于全局语料库、并结合上下文语境构建词向量,结合了 LSA 和 Word2vec 的优点。

3、传统的词向量有什么问题?怎么解决?各种词向量的特点是什么?
上述方法得到的词向量是固定表征的,无法解决一词多义等问题,如“川普”。为此引入基于语言模型的动态表征方法:ELMo、GPT、BERT。
各种词向量的特点:
(1)One-hot 表示 :维度灾难、语义鸿沟;
(2)分布式表示 (distributed representation) :
矩阵分解(LSA):利用全局语料特征,但 SVD 求解计算复杂度大;
基于 NNLM/RNNLM 的词向量:词向量为副产物,存在效率不高等问题;
Word2vec、FastText:优化效率高,但是基于局部语料;
GloVe:基于全局预料,结合了 LSA 和 Word2vec 的优点;
ELMo、GPT、BERT:动态特征;
4、Word2vec 和 NNLM 对比有什么区别?(Word2vecvs NNLM)
1)其本质都可以看作是语言模型;
2)词向量只不过 NNLM 一个产物,Word2vec 虽然其本质也是语言模型,但是其专注于词向量本身,因此做了许多优化来提高计算效率:
与 NNLM 相比,词向量直接 sum,不再拼接,并舍弃隐层;
考虑到 sofmax 归一化需要遍历整个词汇表,采用 hierarchical softmax 和 negative sampling 进行优化,hierarchical softmax 实质上生成一颗带权路径最小的哈夫曼树,让高频词搜索路劲变小;negative sampling 更为直接,实质上对每一个样本中每一个词都进行负例采样;
5、Word2vec 和 FastText 对比有什么区别?(Word2vec vs FastText)
1)都可以无监督学习词向量, FastText 训练词向量时会考虑 subword;
2) FastText 还可以进行有监督学习进行文本分类,其主要特点:
结构与 CBOW 类似,但学习目标是人工标注的分类结果;
采用 hierarchical softmax 对输出的分类标签建立哈夫曼树,样本中标签多的类别被分配短的搜寻路径;
引入 N-gram,考虑词序特征;
引入 subword 来处理长词,处理未登陆词问题;
6、GloVe 和 Word2vec、 LSA 对比有什么区别?(Word2vecvs GloVe vs LSA)
1)GloVe vs LSA
LSA(Latent Semantic Analysis)可以基于 co-occurance matrix 构建词向量,实质上是基于全局语料采用 SVD 进行矩阵分解,然而 SVD 计算复杂度高;
GloVe 可看作是对 LSA 一种优化的高效矩阵分解算法,采用 Adagrad 对最小平方损失进行优化;
2)Word2vecvs GloVe
Word2vec 是局部语料库训练的,其特征提取是基于滑窗的;而 GloVe 的滑窗是为了构建 co-occurance matrix,是基于全局语料的,可见 GloVe 需要事先统计共现概率;因此,Word2vec 可以进行在线学习,GloVe 则需要统计固定语料信息。
Word2vec 是无监督学习,同样由于不需要人工标注;GloVe 通常被认为是无监督学习,但实际上 GloVe 还是有 label 的,即共现次数 [公式]。
Word2vec 损失函数实质上是带权重的交叉熵,权重固定;GloVe 的损失函数是最小平方损失函数,权重可以做映射变换。
总体来看,GloVe 可以被看作是更换了目标函数和权重函数的全局 Word2vec。

7、 ELMo、GPT、BERT 三者之间有什么区别?(ELMo vs GPT vs BERT)
之前介绍词向量均是静态的词向量,无法解决一次多义等问题。下面介绍三种 ELMo、GPT、BERT 词向量,它们都是基于语言模型的动态词向量。下面从几个方面对这三者进行对比:
(1)特征提取器:ELMo 采用 LSTM 进行提取,GPT 和 BERT 则采用 Transformer 进行提取。很多任务表明 Transformer 特征提取能力强于 LSTM,ELMo 采用 1 层静态向量 +2 层 LSTM,多层提取能力有限,而 GPT 和 BERT 中的 Transformer 可采用多层,并行计算能力强。
(2)单 / 双向语言模型:
GPT 采用单向语言模型,ELMo 和 BERT 采用双向语言模型。但是 ELMo 实际上是两个单向语言模型(方向相反)的拼接,这种融合特征的能力比 BERT 一体化融合特征方式弱。
GPT 和 BERT 都采用 Transformer,Transformer 是 encoder-decoder 结构,GPT 的单向语言模型采用 decoder 部分,decoder 的部分见到的都是不完整的句子;BERT 的双向语言模型则采用 encoder 部分,采用了完整句子。
二、深入解剖 Word2vec
1、Word2vec 的两种模型分别是什么?
Word2vec 有两种模型:CBOW 和 Skip-Gram:
CBOW 在已知 context(w) 的情况下,预测 w;
Skip-Gram 在已知 w 的情况下预测 context(w) ;

与 NNLM 相比,Word2vec 的主要目的是生成词向量而不是语言模型,在 CBOW 中,投射层将词向量直接相加而不是拼接起来,并舍弃了隐层,这些牺牲都是为了减少计算量,使训练更加
2、Word2vec 的两种优化方法是什么?它们的目标函数怎样确定的?训练过程又是怎样的?
不经过优化的 CBOW 和 Skip-gram 中 , 在每个样本中每个词的训练过程都要遍历整个词汇表,也就是都需要经过 softmax 归一化,计算误差向量和梯度以更新两个词向量矩阵(这两个词向量矩阵实际上就是最终的词向量,可认为初始化不一样),当语料库规模变大、词汇表增长时,训练变得不切实际。为了解决这个问题,Word2vec 支持两种优化方法:hierarchical softmax 和 negative sampling。此部分仅做关键介绍,数学推导请仔细阅读《Word2vec 中的数学原理详解》。
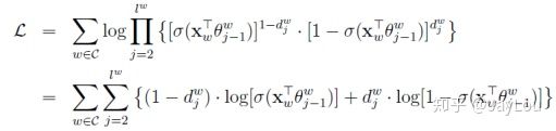
(1)基于 hierarchical softmax 的 CBOW 和 Skip-gram

hierarchical softmax 使用一颗二叉树表示词汇表中的单词,每个单词都作为二叉树的叶子节点。对于一个大小为 V 的词汇表,其对应的二叉树包含 V-1 非叶子节点。假如每个非叶子节点向左转标记为 1,向右转标记为 0,那么每个单词都具有唯一的从根节点到达该叶子节点的由{0 1}组成的代号(实际上为哈夫曼编码,为哈夫曼树,是带权路径长度最短的树,哈夫曼树保证了词频高的单词的路径短,词频相对低的单词的路径长,这种编码方式很大程度减少了计算量)。
CBOW 中的目标函数是使条件概率 [公式] 最大化,其等价于:

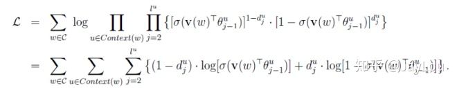
Skip-gram 中的目标函数是使条件概率 [公式] 最大化,其等价于:

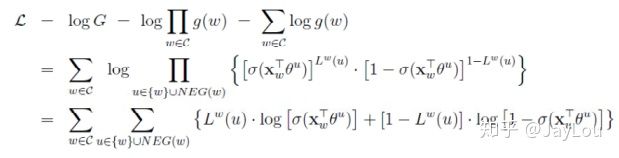
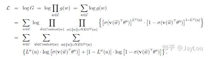
(2)基于 negative sampling 的 CBOW 和 Skip-gram
negative sampling 是一种不同于 hierarchical softmax 的优化策略,相比于 hierarchical softmax,negative sampling 的想法更直接——为每个训练实例都提供负例。
对于 CBOW,其目标函数是最大化:



对于 Skip-gram,同样也可以得到其目标函数是最大化:



负采样算法实际上就是一个带权采样过程,负例的选择机制是和单词词频联系起来的。


具体做法是以 N+1 个点对区间 [0,1] 做非等距切分,并引入的一个在区间 [0,1] 上的 M 等距切分,其中 M >> N。源码中取 M = 10^8。然后对两个切分做投影,得到映射关系:采样时,每次生成一个 [1, M-1] 之间的整数 i,则 Table(i) 就对应一个样本;当采样到正例时,跳过(拒绝采样)。

三、深入解剖 GloVe 详解
GloVe 的全称叫 Global Vectors for Word Representation,它是一个基于全局词频统计(count-based & overall statistics)的词表征(word representation)工具。
1、GloVe 构建过程是怎样的?
(1)根据语料库构建一个共现矩阵,矩阵中的每一个元素 Xij 代表单词 i 和上下文单词 j 在特定大小的上下文窗口内共同出现的次数。
(2)构建词向量(Word Vector)和共现矩阵之间的近似关系,其目标函数为:

这个 loss function 的基本形式就是最简单的 mean square loss,只不过在此基础上加了一个权重函数 f(xij) :

根据实验发现 Xmax 的值对结果的影响并不是很大,原作者采用了 Xmax=100。而 α=3/4 时的结果要比 α=1 时要更好。下面是 α=3/4 时 f(x) 的函数图象,可以看出对于较小的 xij ,权值也较小。这个函数图像如下所示:

2、GloVe 的训练过程是怎样的?
1. 实质上还是监督学习:虽然 GloVe 不需要人工标注为无监督学习,但实质还是有 label 就是 log(xij) 。
2. 向量 ω 和 ω~ 为学习参数,本质上与监督学习的训练方法一样,采用了 AdaGrad 的梯度下降算法,对矩阵 X 中的所有非零元素进行随机采样,学习曲率(learning rate)设为 0.05,在 vector size 小于 300 的情况下迭代了 50 次,其他大小的 vectors 上迭代了 100 次,直至收敛。
3. 最终学习得到的是两个词向量是 ω 和 ω~ ,因为 X 是对称的(symmetric),所以从原理上讲 ω 和 ω~ ,是也是对称的,他们唯一的区别是初始化的值不一样,而导致最终的值不一样。所以这两者其实是等价的,都可以当成最终的结果来使用。但是为了提高鲁棒性,我们最终会选择两者之和 ω + ω~ 作为最终的 vector(两者的初始化不同相当于加了不同的随机噪声,所以能提高鲁棒性)。
3、GloVe 损失函数是如何确定的?(来自 GloVe 详解)



四、深入解剖 BERT(与 ELMo 和 GPT 比较)
BERT 的全称是 Bidirectional Encoder Representation from Transformers,BERT 的核心是双向 Transformer Encoder,提出以下问题并进行解答:
1、为什么 BERT 采取的是双向 Transformer Encoder,而不叫 decoder?
BERT Transformer 使用双向 self-attention,而 GPT Transformer 使用受限制的 self-attention,其中每个 token 只能处理其左侧的上下文。双向 Transformer 通常被称为“Transformer encoder”,而左侧上下文被称为“Transformer decoder”,decoder 是不能获要预测的信息的。
2、ELMo、GPT 和 BERT 在单双向语言模型处理上的不同之处?
在上述 3 个模型中,只有 BERT 共同依赖于左右上下文。那 ELMo 不是双向吗?实际上 ELMo 使用的是经过独立训练的从左到右和从右到左 LSTM 的串联拼接起来的。而 GPT 使用从左到右的 Transformer,实际就是“Transformer decoder”。
3、BERT 构建双向语言模型不是很简单吗?不也可以直接像 ELMo 拼接 Transformer decoder 吗?
BERT 的作者认为,这种拼接式的 bi-directional 仍然不能完整地理解整个语句的语义。更好的办法是用上下文全向来预测 [mask],也就是用 “能 / 实现 / 语言 / 表征 /…/ 的 / 模型”,来预测 [mask]。BERT 作者把上下文全向的预测方法,称之为 deep bi-directional。
4、BERT 为什么要采取 Marked LM,而不直接应用 Transformer Encoder?
我们知道向 Transformer 这样深度越深,学习效果会越好。可是为什么不直接应用双向模型呢?因为随着网络深度增加会导致标签泄露。如下图:

深度双向模型比 left-to-right 模型或 left-to-right and right-to-left 模型的浅层连接更强大。遗憾的是,标准条件语言模型只能从左到右或从右到左进行训练,因为双向条件作用将允许每个单词在多层上下文中间接地“see itself”。
为了训练一个深度双向表示(deep bidirectional representation),研究团队采用了一种简单的方法,即随机屏蔽(masking)部分输入 token,然后只预测那些被屏蔽的 token。论文将这个过程称为“masked LM”(MLM)。
5、BERT 为什么并不总是用实际的 [MASK]token 替换被“masked”的词汇?
NLP 必读 | 十分钟读懂谷歌 BERT 模型: 虽然这确实能让团队获得双向预训练模型,但这种方法有两个缺点。首先,预训练和 finetuning 之间不匹配,因为在 finetuning 期间从未看到 [MASK]token。为了解决这个问题,团队并不总是用实际的 [MASK]token 替换被“masked”的词汇。相反,训练数据生成器随机选择 15%的 token。例如在这个句子“my dog is hairy”中,它选择的 token 是“hairy”。然后,执行以下过程:
数据生成器将执行以下操作,而不是始终用 [MASK] 替换所选单词:
80%的时间:用 [MASK] 标记替换单词,例如,my dog is hairy → my dog is [MASK]
10%的时间:用一个随机的单词替换该单词,例如,my dog is hairy → my dog is apple
10%的时间:保持单词不变,例如,my dog is hairy → my dog is hairy. 这样做的目的是将表示偏向于实际观察到的单词。
Transformer encoder 不知道它将被要求预测哪些单词或哪些单词已被随机单词替换,因此它被迫保持每个输入 token 的分布式上下文表示。此外,因为随机替换只发生在所有 token 的 1.5%(即 15%的 10%),这似乎不会损害模型的语言理解能力。
使用 MLM 的第二个缺点是每个 batch 只预测了 15%的 token,这表明模型可能需要更多的预训练步骤才能收敛。团队证明 MLM 的收敛速度略慢于 left-to-right 的模型(预测每个 token),但 MLM 模型在实验上获得的提升远远超过增加的训练成本。
BERT 模型的主要创新点都在 pre-train 方法上,即用了 Masked LM 和 Next Sentence Prediction 两种方法分别捕捉词语和句子级别的 representation。

下面给出了 Transformer Encoder 模型的整体结构:



